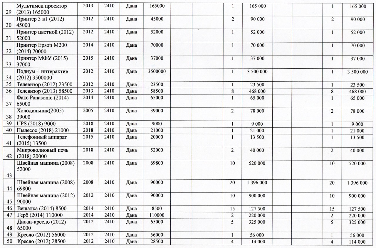
Жабдық пен жихазға бухгалтерлік есептілік деректер тізбесі
View the embedded image gallery online at:
https://15kolledzh.edugov.kz/kz/o-u-materialdy-aktivter.html#sigFreeIdc97a351b9e



Жабдық пен жихазға бухгалтерлік есептілік деректер тізбесі
View the embedded image gallery online at:
https://15kolledzh.edugov.kz/kz/o-u-materialdy-aktivter.html#sigFreeIdc97a351b9e